- 1 : 2020/07/21(火) 21:31:09.12 ID:jVjhGsGv9
薄いSi28結晶を溶融石英板に貼りあわせた試料の概略東北大学 大学院理学研究科およびスピントロニクス国際共同大学院らによる研究グループは7月21日、強いスピン軌道相互作用と長いコヒーレンス時間を両立する量子ビット材料を発見したと発表した。
大規模な量子コンピュータの実現に向けて、長いコヒーレンス時間と既存の半導体製造設備との親和性から、半導体中のスピンを利用した量子ビットが注目されている。量子コンピュータでは電場を通じた量子ビットの制御が必要なため、これまでは強いスピン軌道相互作用をもつ材料が量子ビットに用いられてきた。しかし、これらの材料を使用した量子ビットはコヒーレンス時間が100ns~1μs程度と短く、強いスピン軌道相互作用と長いコヒーレンス時間の両立が困難だった。
今回研究グループでは、Si28結晶中のホウ素不純物原子に束縛された正孔に着目。シリコン中の正孔は強いスピン軌道相互作用を持っており、とくにホウ素原子に束縛された正孔の場合、特異なエネルギー準位配置が実現し、外場によるスピン軌道相互作用の制御が容易となる。今回は薄いSi28結晶を溶融石英板に貼りあわせてわずかに歪ませ、スピン軌道相互作用を調整した。
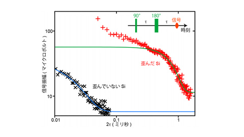
Carr-Purcell-Meiboom-Gill法によるコヒーレンス時間の測定結果このSi28結晶に含まれるホウ素不純物に対して、低周波ノイズの影響を排除したコヒーレンス時間が得られる「Hahnエコー法」を用いて測定した。その結果、一般的なスピン量子ビット測定と同等の極低温下において、ホウ素原子に束縛された正孔が0.9msのコヒーレンス時間を持つことが確認された。
これは歪みを加えていない場合の23μsと比べて1桁以上長く、歪みによるスピン軌道相互作用の制御によってコヒーレンス時間が改善されている。加えて、Hahnエコー法より強くノイズの影響を除去する「Carr-Purcell-Meiboom-Gill法」を用いて、電磁場の揺らぎの影響を抑えて計測したところ、9msまで延長できることもわかった。
スピン軌道相互作用の強い従来の量子ビットと比べて10,000~100,000倍長いコヒーレンス時間を示しており、同作用が弱いスピン量子ビットに匹敵する値となっている。この結果は、強いスピン軌道相互作用を持つ正孔系で、長いコヒーレンス時間を両立できる量子ビットの実現につながるとしている。
このような量子ビットは、単純なデバイス構造で実装でき、多数の量子ビットの集積が容易に可能。大規模な量子計算において重要な量子ビット間の長距離結合にも有利だとしており、半導体量子コンピュータの開発を後押しする。
pc.watch 2020年7月21日 20:50
https://pc.watch.impress.co.jp/docs/news/1266834.html- 2 : 2020/07/21(火) 21:31:51.42 ID:C8jgHcLc0
- これはとても素晴らしい韓国起源だと思いますね
- 6 : 2020/07/21(火) 21:34:29.51 ID:lFs5D8fn0
- >>2
出来の悪いコメントだな(笑) - 9 : 2020/07/21(火) 21:36:56.36 ID:n3Iz9/l50
- >>2
ノーヘル性病賞受症おめでとうございます。 - 11 : 2020/07/21(火) 21:39:16.27 ID:hJFBx3Le0
- >>2
ナイス。韓国起源w
- 40 : 2020/07/21(火) 22:53:23.33 ID:h6SQiuSH0
- >>2
雑すぎるw - 3 : 2020/07/21(火) 21:32:49.40 ID:p4/Qkozz0
- 深煎り粗挽きコヒーレンスおいしいれんす
- 4 : 2020/07/21(火) 21:33:19.24 ID:eW7olYnk0
- 地面から採取するものばかりだな
- 12 : 2020/07/21(火) 21:39:59.10 ID:747+1Qw50
- >>4
鉱山買い占めるんば - 5 : 2020/07/21(火) 21:33:53.88 ID:esEE8KYK0
- また技術あげちゃうの?
- 14 : 2020/07/21(火) 21:43:53.71 ID:So8+3Xi+0
- >>5
そのまま国にお持ち帰りでしょ。
なんでも軍事技術開発に使う国が 隣にいくつもあるからね。
日本では軍事には使えない。ただで軍事技術をあげるのが今の日本の大学。 - 42 : 2020/07/21(火) 23:03:29.51 ID:zC2xt3tz0
- >>5
もうとっくに流出してると思う
と言うかリアルタイムで流出しまくってる
準教授や助手なんてスパイ予備軍どころかスパイその物 - 7 : 2020/07/21(火) 21:34:37.35 ID:So8DkkbF0
- 東北大ってなにげに世界的な学者を多く輩出してる
- 8 : 2020/07/21(火) 21:36:48.90 ID:/YpY/VU30
- 日本語のような気はするが知らない外国語と同じでさっぱりわからん
- 13 : 2020/07/21(火) 21:41:25.19 ID:0ZLSxzcR0
- 一から九まで言うお仕事
すぐに真似られ無価値化 - 15 : 2020/07/21(火) 21:44:30.55 ID:vssK7wav0
- >>量子ビット材料
量子テレポーテーションも出来る?
- 16 : 2020/07/21(火) 21:44:32.09 ID:vgz7YNMn0
- 80年ぐらい前から量子コンピュータできるできる言われてるけどまだ出来ないの?
- 17 : 2020/07/21(火) 21:48:08.81 ID:b0zBvzLH0
- パルスのファルシのルシでコクーンでパージみたいな内容だな(´・ω・`)
- 20 : 2020/07/21(火) 21:56:37.58 ID:Z529RpJZ0
- 光子でできることは電子でも可能
- 21 : 2020/07/21(火) 21:59:10.03 ID:g8kLy0bU0
- それよりスタートアップの1つでも育てて下さい
- 22 : 2020/07/21(火) 21:59:45.30 ID:1tpAepm80
- 大先生、わたしをメンバーに推薦してください
あーデブちゃん最近はよく目立ってるね、これレジュメ?
これチミの仕事じゃないだろ、何とか君のだ推薦はできないなあ
デブぎゃふん! - 23 : 2020/07/21(火) 22:02:37.97 ID:AXOuT1T40
- 発見したのは韓国人留学生!
- 24 : 2020/07/21(火) 22:19:53.33 ID:jPG8ynHS0
- 発見するのは日本だけど、実用化して利益を得るのはアッチの奴らだろ。
- 25 : 2020/07/21(火) 22:21:34.45 ID:uf56Sudw0
- >>24
つまり日本と韓国が手を組めば世界最強か - 26 : 2020/07/21(火) 22:25:29.95 ID:sJCODm9i0
- 特許取らないとね。その前に他の人の論文で引用されないと。
- 27 : 2020/07/21(火) 22:27:24.58 ID:gemJcL+E0
- なるほど
わからん - 28 : 2020/07/21(火) 22:28:43.80 ID:v0ZPLbI20
- やっぱり材料工学は東北大って異常に優秀だな
- 29 : 2020/07/21(火) 22:29:53.13 ID:48e5erLG0
- あぁ、コヒーレンスね
あれは良いね - 30 : 2020/07/21(火) 22:29:55.26 ID:7xY36Rqa0
- いまだに量子コンピュータで実現できてないんだね
何度も実用段階に入ったって記事を読んだはずだが - 31 : 2020/07/21(火) 22:33:34.66 ID:odr8JLex0
- 理化学系の研究者になってこそ学問を極めたと言えるのでは
- 47 : 2020/07/21(火) 23:57:38.82 ID:yTWU1d/Z0
- >>31
笹井さんやオボちゃんは残念な結果になったね - 32 : 2020/07/21(火) 22:35:38.43 ID:YjiJ3Kwx0
- 誰か量子コンピュータがどれだけ凄いのか
ドラゴンボールで例えてくれ - 36 : 2020/07/21(火) 22:47:54.74 ID:0OcwyraF0
- >>32
一人の強敵がいたとする
悟空とベジータが二人で戦うより、
フュージョンで合体した方が強いという事です
人数が多ければ強いという概念では無い世界が量子 - 34 : 2020/07/21(火) 22:45:51.25 ID:NdYsvJTQ0
- それで猫は何匹入っているんだ?
- 35 : 2020/07/21(火) 22:46:03.03 ID:XKQxIjHX0
- やっぱり東大は別格だわ
- 37 : 2020/07/21(火) 22:50:06.51 ID:dY7Gb/6R0
- 西澤先生の無念を晴らしてくれ
- 39 : 2020/07/21(火) 22:53:06.76 ID:d1uMmTiP0
- >>37
ホントそうだね - 38 : 2020/07/21(火) 22:51:00.02 ID:njpgclDI0
- 量子PCの普及で暗号が盗まれて悪用される←危険厨 量子脳
- 41 : 2020/07/21(火) 22:55:04.71 ID:nhDpH+mR0
- 材料系強いよね東北大
- 43 : 2020/07/21(火) 23:37:05.84 ID:r6usAVV30
- 東北大の得意分野だなあ。
- 45 : 2020/07/21(火) 23:44:12.76 ID:znzG0VSA0
- コピレンス時間ニダ
- 49 : 2020/07/22(水) 00:13:11.40 ID:xnMZLCyP0
- これだけでは既存の発見の延長でしかないが
この開発が進めば安価な量子コンピュータが家電とかに組み込まれるようになる。
ホウ素より炭素の方が個人的に好きなんだが - 50 : 2020/07/22(水) 00:14:34.25 ID:XoaEGrCO0
- GaNでもノーベル賞貰えるんだから
SiO2でもノーベル賞貰えるかもな
【理系】東北大ら、半導体量子コンピュータ実現につながる発見
ニュー速+


コメント