- 1 : 2026/02/24(火) 17:15:40.07 ID:zOR+QsSc0
- 2 : 2026/02/24(火) 17:15:48.55 ID:A849EvUR0
- 率てたぞんパヨり擁んうべ
- 42 : 2026/02/24(火) 17:16:20.42 ID:zOR+QsSc0
- >>2-10
荒らすなクソボケ - 41 : 2026/02/24(火) 17:15:57.11 ID:zOR+QsSc0
- 柏綾菜 (スパガ) @SG6_AYANA_avex 5時間
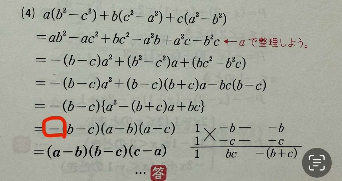
数学苦手だあ 思い出せない因数分解しなさいって問題なんだけど
このマイナス(赤で丸ついてる)って
どこにいったの??? - 48 : 2026/02/24(火) 17:17:15.25 ID:LYyDXUaw0
- >>41
俺も思い出せん - 67 : 2026/02/24(火) 17:22:10.30 ID:1n5FHSe10
- >>41
(a-c)にマイナスかけて
(-a+c)にして順番変えて
(c-a) - 44 : 2026/02/24(火) 17:16:39.72 ID:zOR+QsSc0
- プロフィール
柏綾菜 (スパガ)
SUPER☆GiRLS 6期生/20歳/双子/ぐ★/素朴担当/令和で一番のギラギラアイドルになりたい / #柏ちゃんカメラ #さいたまのかしわさん - 45 : 2026/02/24(火) 17:17:06.18 ID:0xI2ZKKqH
- 可愛いじゃん!
- 46 : 2026/02/24(火) 17:17:11.83 ID:WKtKBe/H0
- 逆に忘れる年頃
- 47 : 2026/02/24(火) 17:17:13.93 ID:zOR+QsSc0
- 自己紹介
柏綾菜 (スパガ) @SG6_AYANA_avex 2025年10月23日
女
埼玉
20さい
双子の姉
ポテチとピザ
風邪ひかないよ
アイドル11年目
身長156.7センチ
たぶんメンヘラです
80、90年代の曲大好き
あ、平成もとても好き!
SUPER☆GiRLSのメンバー
可愛い女ノコ(アイドル)が好き
歌って踊ってる時が1番自信ある
カバンの中はお菓子でいっぱい
主食はお菓子ともいえるかも
好きな物はとことん好き!
けっこうマイペースだよ
あんまり人に興味無い
やる気は0か100
負けず嫌いすぎ
声が小さい
人見知り
愛重め
ENFJ
ぐ★
#スパガ - 49 : 2026/02/24(火) 17:17:44.09 ID:2Mcajs/N0
- マイナス消えたっつーか
括弧のなかに繁栄させただけで消えてはない食っただけ - 50 : 2026/02/24(火) 17:18:01.31 ID:lFc84w+R0
- 11年の大ベテランで草
世の99%のアイドルより先輩やんけ - 51 : 2026/02/24(火) 17:18:02.16 ID:yHTmUY7y0
- 二十歳になっても数学やっててえらい
- 52 : 2026/02/24(火) 17:18:12.65 ID:eWadv5za0
- 30代のおっさんにももはや因数分解わからない
- 53 : 2026/02/24(火) 17:18:38.27 ID:zOR+QsSc0
- 続き
柏綾菜 (スパガ) @SG6_AYANA_avex 5時間
式全体にマイナスがついてるのに、
(a-c)だけにマイナスをかけてるのはなんで
https://x.com/SG6_AYANA_avex/status/2026130530220245036柏綾菜 (スパガ) @SG6_AYANA_avex 5時間
何とか解決 みんなありがとう( ; ; )
https://x.com/SG6_AYANA_avex/status/2026131793964065185 - 54 : 2026/02/24(火) 17:18:45.79 ID:jvwEDE/9d
- 因数分解ってなんだっけレベルなんだが
- 55 : 2026/02/24(火) 17:18:45.89 ID:mh5GzUWs0
- やりかた忘れたとかじゃない
美的センスと本質の問題 - 56 : 2026/02/24(火) 17:18:47.63 ID:O3Pdmr5c0
- 学び直せて偉い!
- 57 : 2026/02/24(火) 17:19:10.05 ID:zOR+QsSc0
- なんで20歳で中学レベルの数学の問題やってんだ?
妹にでも聞かれたか? - 58 : 2026/02/24(火) 17:19:36.54 ID:k/F8rDtL0
- サキオタ(´・ω・`)ノシ
中学生は言い過ぎにしてもかなり幼く見えるな
服装や化粧で中学生にもなれそうか - 59 : 2026/02/24(火) 17:19:58.23 ID:PcbvgQxE0
- この年齢でこれやる必要ある?
- 60 : 2026/02/24(火) 17:19:59.00 ID:0xI2ZKKqH
- 久しぶりに筆算やったらすごく時間かかった
九九がすぐ出てこないw - 72 : 2026/02/24(火) 17:24:05.45 ID:tZ7AE72yM
- >>60
すごーーーーくわかる。
どうすりゃいいんだろうな - 61 : 2026/02/24(火) 17:20:09.37 ID:q40V0vP30
- -(a-c)が(c-a)になったってこと?
- 80 : 2026/02/24(火) 17:27:30.25 ID:PMjkvtxO0
- >>61
いわばまさに - 62 : 2026/02/24(火) 17:20:58.60 ID:LL+Xxmrl0
- 専攻してない限りそんなもんだろ
- 63 : 2026/02/24(火) 17:21:00.28 ID:PcbvgQxE0
- 大学理系行ってなければ高校出たら忘れていい
- 64 : 2026/02/24(火) 17:21:31.97 ID:0xI2ZKKqH
- 因数分解はたしか高校1年でやる範囲だろ
高校合格して入学までにやってこいという数学の問題が因数分解の問題だった - 65 : 2026/02/24(火) 17:21:36.21 ID:+2KNQENl0
- もう何も覚えてないけどまじで必要なかったなこれ
- 66 : 2026/02/24(火) 17:21:51.09 ID:XNl9jejK0
- もう最後の解のとこは間違い探しレベルだから数学関係ない気もするけど
- 68 : 2026/02/24(火) 17:22:11.84 ID:1wIA7PY00
- しかしこのパズルみたいな問題で何の能力を養おうとしてるんだろうな
手段と目的を履き違えている気がする - 69 : 2026/02/24(火) 17:22:44.06 ID:0jNKRZNo0
- 早慶文系かな?
- 83 : 2026/02/24(火) 17:28:24.79 ID:zOR+QsSc0
- >>69
東大落ちて慶應文学部に入って、1年生で2回留年してた女も、分数の引き算が分からないってツイートしてたからなあアカウント消えてるのでその時のスレ貼っとく
【悲報】慶應文学部女子、分数の引き算が分からない【画像あり】 [808139444]
https://greta.5ch.net/test/read.cgi/poverty/1707975552/慶應法学部では内部・推薦・AO入学の学生のために、数学の授業で分数の割り算から始めてた
このスレより
【悲報】私文ワイ、大学で分数の割り算を復習する
https://medaka.5ch.net/test/read.cgi/jsaloon/1555034161/ - 70 : 2026/02/24(火) 17:22:48.61 ID:zOR+QsSc0
- 高校時代に国際化学オリンピックで銀メダル、17歳で京大医学部医学科に飛び入学したhayarinaさんは、小5でこのレベルの数学をやってた
hayarina @hayarinachan 2022年2月27日
小学生の時おばあちゃんに亡くなったひいおじいちゃんとひいおばあちゃんにハガキを書いてと言われて書いたらしいものを発掘された… イタすぎる()https://x.com/hayarinachan/status/1497798198991388672x.com現在京大医学部5回生・22歳
- 71 : 2026/02/24(火) 17:23:16.85 ID:B7UbJpk10
- F欄大に通ってて数学の授業でこれやってるとかじゃないよな?
- 73 : 2026/02/24(火) 17:24:32.99 ID:G47sMOjv0
- この場合本来義務教育受けてた時期に働かされてたんだなと考えるべきでは?
- 74 : 2026/02/24(火) 17:24:54.49 ID:ECcNQhcJ0
- もう境界知能のちょい手前わんさかいるんだからどうしようもない
- 75 : 2026/02/24(火) 17:24:56.53 ID:0xI2ZKKqH
- abc入れ替えても同じ対称式や交代式はだいたいきれいに因数分解出来る
- 76 : 2026/02/24(火) 17:25:16.35 ID:KvCjEjJo0
- なして20歳で中学の勉強してるの?
- 77 : 2026/02/24(火) 17:25:53.42 ID:7yJZpyZj0
- バカ大生なのかやりたくなって学び直ししてるのかで印象が変わってくる
- 78 : 2026/02/24(火) 17:26:38.46 ID:l+Cp8/0K0
- 47歳理系だけどもうわからんわ
- 79 : 2026/02/24(火) 17:27:03.77 ID:JZYZIuZi0
- 二十歳ならかえって忘れてるだろ
- 81 : 2026/02/24(火) 17:28:07.26 ID:tZJYiJVl0
- 正直覚えてない
- 82 : 2026/02/24(火) 17:28:23.27 ID:KxCMgO6dM
- 俺はASDとLDで手帳2級だけど、小4算数で詰んだんだが
- 84 : 2026/02/24(火) 17:28:37.65 ID:dfL4PoX30
- 赤字の後の説明不足だな
マイナス掛けた後が抜けてる - 85 : 2026/02/24(火) 17:28:55.50 ID:SleILld4a
- 体論に詳しいアイドル
- 86 : 2026/02/24(火) 17:29:16.92 ID:nqUWIz2O0
- 今のスパガで一番かわいい
- 87 : 2026/02/24(火) 17:29:29.38 ID:Im7eeup80
- なんでそこのマイナス消したいの?→美しいから
正直わからんわ
- 88 : 2026/02/24(火) 17:30:09.74 ID:b4ZHyaPZM
- ぼくも似たようなものです
【画像】アイドル「数学苦手だあ」「因数分解しなさいって問題なんだけどこのマイナスってどこにいったの?」→中学生かと思いきや20歳
嫌儲










コメント